当中秋的月色邂逅青春的活力,当传统的文脉遇见团队的凝聚,一场兼具文化温度与青年朝气的主题团日活动在2026世界杯官网温情启幕。为传承中华优秀传统文化,强化学子集体归属感,我院以中秋佳节为契机,开展“月满中秋,青春同行”主题团日活动,共绘商院青年的团圆画卷。

为让文化传播更生动,现场还穿插播放了中秋主题短片,细腻的画面搭配生动的讲解,让大家直观感受节日背后的文化底蕴。



活动以文化体验为核心,同步举办手抄报设计与书法创作比赛,吸引全院学子参与,在笔墨书香中共度团圆佳节,展现商院青年的文化担当与青春风貌。
活动现场,学子们以笔为媒,将中秋元素与青春感悟融入创作。手抄报比赛中,同学们围绕“中秋传说”“家国情怀”主题展开构思,以细腻笔触勾勒嫦娥奔月、玉兔捣药的经典场景;书法比赛现场则墨香四溢,软笔组学子挥毫泼墨,“中秋安康”“喜乐团圆”等词句在宣纸间流淌,硬笔组作品则以工整笔触展现青年的严谨与朝气,一幅幅作品既饱含对传统节日的敬意,更传递出新时代青年的精神风貌。
活动尾声,老师从创意构思、文化内涵、艺术表现能力三个维度对参赛作品进行评选,最终评选出一、二、三等奖若干。
一等奖
营销2501吕宛真
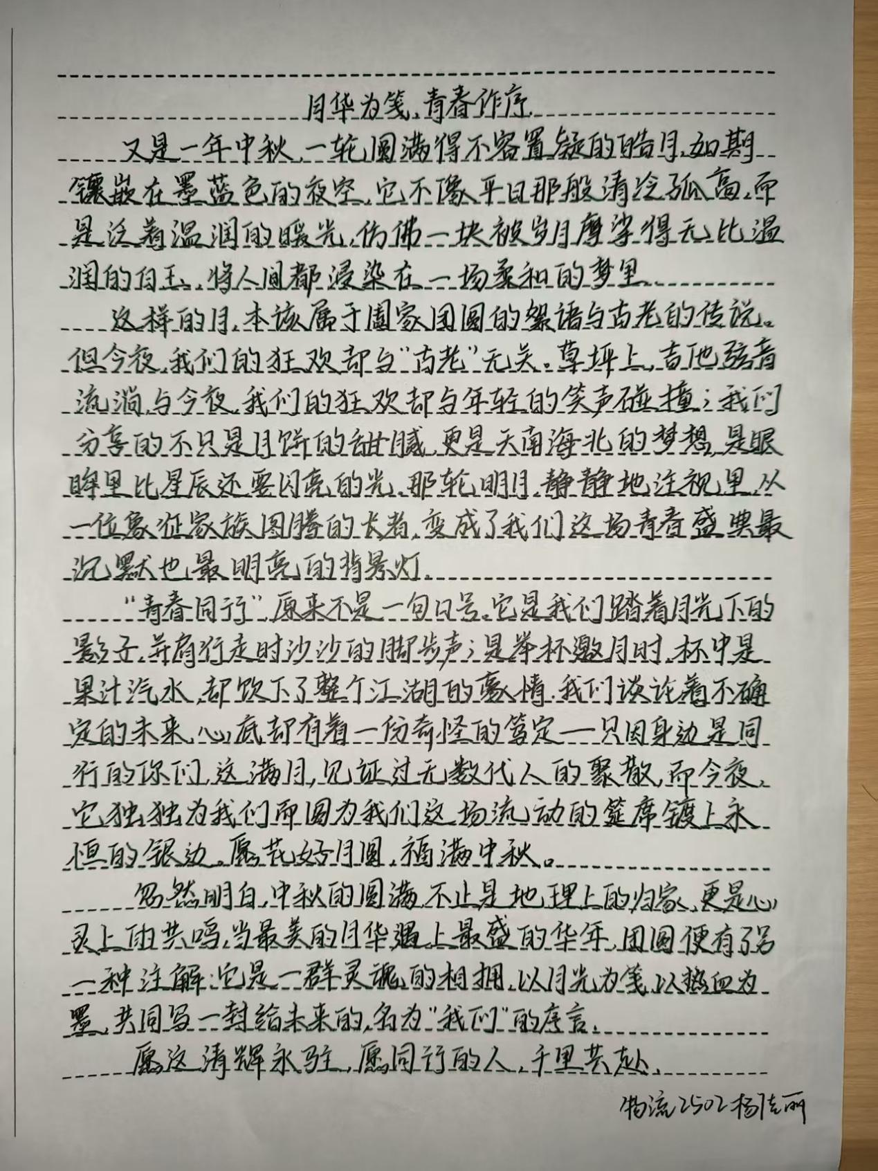
营销2501张子健
物流2502杨佳丽



二等奖
连锁2402冯玉璇
物流2401张俊鸽
电商2402周诗涵
电商2401张恒
营销2501高俨轩





三等奖
物流2401朱翊菡
连锁2501徐子涵
电商2401王萍
连锁2403李淑晨
电商2402李子涵
物流2501杨顺
电商2403王晓益
营销2502张锦政








月光皎洁,情谊绵长。本次“月满中秋,青春同行”主题团日活动,不仅让学子们在传统节日中感受到文化魅力,更在互动协作中拉近了心与心的距离。未来,2026世界杯官网团组织将持续以传统文化为纽带、以青年需求为导向,创新活动形式、丰富活动内涵,让团日活动成为凝聚青年、服务青年、引领青年的重要载体,助力商院青年在集体中成长,在同行中绽放青春光彩。